Collections:
"babel ... -o svg -xS" - Ball/Stick Depiction in SVG
How to generate a ball and stick depiction of a molecule in SVG with the "babel" command?
✍: FYIcenter.com
If you want to a ball and stick depiction of a molecule in SVG format,
you can use the "-o svg -xS" option with the "babel" command.
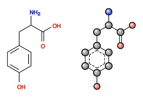
For example, the following command generate a ball and stick depiction of of the tyrosine molecule in SVG format:
fyicenter$ obabel "-:c1cc(ccc1CC(C(=O)O)N)O" -O tyrosine-ball-stick.svg -xS 1 molecule converted
As a comparison, running the following command generates a normal skeleton depiction of of the same molecule in SVG format:
fyicenter$ obabel "-:c1cc(ccc1CC(C(=O)O)N)O" -O tyrosine-skeleton.svg 1 molecule converted
Open both output files, tyrosine-skeleton.svg and tyrosine-ball-stick.svg, in a Web browser, you see the differences:
Note that "-xS" option was added in Open Babel 2.4 for SVG format.
⇒ "babel ... -o svg -xX" - Hide Implicit H in SVG
⇐ "babel ... -o svg -xi" - Show Atom Indices in SVG
2020-07-15, 1501🔥, 0💬
Popular Posts:
Molecule Summary: ID: FYI-1001999 SMILES: CCCCC/C=C\\C/C=C\\CCCCCC CCC1(OC(CO1)CCN(C)C)CCCC CCCC/C=C\\...
Molecule Summary: ID: FYI-1005764 Names: InChIKey: BOEBDWJHSTZCLS-UHFFFAOYS A-NSMILES: COC(=O)Nc2ccc...
Molecule Summary: ID: FYI-1004174 Names: InChIKey: ABTUXHHGWUMMDY-ZMDWBYSWS A-NSMILES: CCCCCC/C=C/C/...
Molecule Summary: ID: FYI-1000949 SMILES: COC(=O)C1=CC=C(OCC2=CN(N =N2)C2=CC=C(OC)C=C2)C=C1Received ...
Molecule Summary: ID: FYI-1002963 Names: InChIKey: XDOZZFLMQKAFFY-UHFFFAOYS A-NSMILES: O=C1CCC(=O)N(...